Какие бывают виды соединений в электрических цепях. Как рассчитать параметры при последовательном и параллельном соединении. Какие особенности имеют смешанные соединения проводников.
Виды соединений элементов в электрических цепях
Электрическая цепь представляет собой совокупность устройств и объектов, образующих путь для протекания электрического тока. Основные виды соединений элементов в электрических цепях:
- Последовательное соединение
- Параллельное соединение
- Смешанное соединение
При последовательном соединении элементы цепи располагаются друг за другом, образуя единую неразветвленную цепь. Через все элементы протекает одинаковый ток. Параллельное соединение характеризуется тем, что все элементы подключены к одним и тем же двум узлам цепи. При этом напряжение на всех элементах одинаково. Смешанное соединение сочетает в себе участки с последовательным и параллельным соединением элементов.
Расчет параметров при последовательном соединении
При последовательном соединении проводников справедливы следующие соотношения:

- Общее сопротивление цепи равно сумме сопротивлений отдельных элементов: R = R1 + R2 + … + Rn
- Сила тока во всех элементах одинакова: I = I1 = I2 = … = In
- Общее напряжение равно сумме напряжений на отдельных элементах: U = U1 + U2 + … + Un
Для расчета параметров при последовательном соединении используется закон Ома: U = I * R. Зная напряжение источника питания и сопротивление каждого элемента, можно определить силу тока в цепи и падение напряжения на каждом участке.
Особенности параллельного соединения проводников
При параллельном соединении элементов электрической цепи наблюдаются следующие закономерности:
- Напряжение на всех элементах одинаково и равно напряжению источника питания: U = U1 = U2 = … = Un
- Общий ток равен сумме токов через отдельные элементы: I = I1 + I2 + … + In
- Величина, обратная общему сопротивлению, равна сумме величин, обратных сопротивлениям отдельных элементов: 1/R = 1/R1 + 1/R2 + … + 1/Rn
Параллельное соединение позволяет подключать к одному источнику питания несколько потребителей. При этом выход из строя одного элемента не влияет на работу остальных. Это повышает надежность электрической цепи.

Расчет смешанных соединений проводников
Смешанное соединение представляет собой комбинацию последовательных и параллельных участков. Для расчета таких цепей используют следующий алгоритм:
- Разбивают схему на отдельные участки с последовательным или параллельным соединением
- Рассчитывают эквивалентное сопротивление для каждого участка
- Заменяют группы элементов их эквивалентными сопротивлениями
- Повторяют процесс, пока не получат простую цепь
- Рассчитывают общий ток и напряжение
- Определяют токи и напряжения на отдельных элементах, двигаясь от общей цепи к частным участкам
Такой подход позволяет производить расчеты сложных электрических схем, разбивая их на простые составляющие.
Применение законов Кирхгофа для анализа электрических цепей
Законы Кирхгофа являются фундаментальными принципами, используемыми при анализе электрических цепей:
- Первый закон Кирхгофа: алгебраическая сумма токов в узле равна нулю
- Второй закон Кирхгофа: алгебраическая сумма напряжений в замкнутом контуре равна нулю
Эти законы позволяют составлять системы уравнений для расчета токов и напряжений в сложных электрических цепях. Применение законов Кирхгофа особенно эффективно при анализе цепей со смешанным соединением элементов.

Особенности соединения источников электрической энергии
Источники электрической энергии (например, аккумуляторы или генераторы) могут соединяться последовательно или параллельно:
- При последовательном соединении увеличивается общее напряжение
- Параллельное соединение позволяет увеличить силу тока
Важно соблюдать правила соединения источников питания:
- При последовательном соединении соединяют разноименные полюса
- Для параллельного подключения объединяют одноименные полюса
- Параллельно можно соединять только источники с одинаковым напряжением
Правильное соединение источников позволяет оптимизировать работу электрической цепи и повысить ее эффективность.
Влияние типа соединения на характеристики электрической цепи
Выбор способа соединения элементов оказывает существенное влияние на характеристики электрической цепи:
- Последовательное соединение увеличивает общее сопротивление цепи
- Параллельное соединение уменьшает общее сопротивление
- При последовательном соединении потребителей возрастает риск перегрузки при выходе из строя одного элемента
- Параллельное соединение обеспечивает независимую работу потребителей
Учет этих особенностей позволяет проектировать электрические цепи с оптимальными характеристиками для конкретных задач. Например, в бытовых электросетях чаще используется параллельное подключение потребителей для обеспечения их независимой работы.

Способы соединения электрических цепей

Электрическая цепь, являясь совокупностью устройств, по которым течет электрический ток, может иметь несколько видов соединений. Рассматривая на примере электрической проводки в доме, можно отметить, что способы соединения электрической цепи являются базой для типизации видов разводки. И в донном случае определение электрической цепи можно перефразировать как соединенные между собой источник тока, линии передачи и приемник.
Для наглядности рассмотрим самую простую электрическую цепь. Она состоит из источника тока, приемника (лампочка или электродвигатель) и системы передачи (провода). Чтобы данная комбинация стала полноценной цепью, ее элементы должны быть соединены между собой проводниками таким образом, чтобы ток протекал по замкнутой цепи.
Условные обозначения элементов электрической цепи
Все элементы электрических цепей можно разделить на активные и пассивные. К активным относятся источники тока, аккумуляторы, электродвигатели. Пассивные элементы – соединительные провода и электро приемники (лампочка или иной потребитель). Их общепринятые условные обозначения предназначены для изображения элементов цепи на схемах. Рассмотрим основные из них, так как данная информация пригодится для дальнейшего понимания принципов соединения электрической цепи на примере разводки внутри домовой проводки.
Обозначения элементов электрической цепиСпособы соединения электрической цепи
Разобравшись с терминологией и графическим обозначением элементов, можно перейти к непосредственному рассмотрению способов соединения, представленных в следующей таблице:
![]() | При параллельном соединении ни один элемент (приемник) не соединен между собой, но при этом они объединены двумя общими узлами. В этом случае даже при возникновении неисправности одного из потребителей, остальные продолжают работать. Наглядным примером такого соединения может быть подключение двух зон освещения через двухклавишный выключатель, где один проводник (рабочий ноль N) общий, а фаза (L) посредством выключателя разделяется на два проводника L1 и L2. |
![]() | При последовательном соединении все элементы цепи располагаются друг за другом и не имеют узлов. Примером служит елочная гирлянду, где большое количество лампочек соединяется одним проводом (если сгорит одна лампочка, цепь разорвется и погаснут все остальные). Другой пример — шлейфовое подключение розеток. |
Типы разводки электропроводки
Информация о соединениях электрической цепи тесно переплетается с темой разводки проводки и дополняет методику электромонтажных работ. Существует несколько типов разводки. Однако, прежде чем перейти к ним, стоит рассмотреть, как формируется разводка в частном доме:
- Питающий кабель входит в распределительный щит здания.
- В щите располагаются группы автоматических устройств защиты.
- Посредством автоматики и распределительных шин кабель далее разводится на зоны (группы потребителей).
- Зоны делятся на две группы: одна предназначена для розеток, другая — для освещения.
- Питающие кабели отдельной зоны заходят в помещение, где для них используются свои варианты расключения. Так, силовая кабельная линия, идущая к розетке, может подключается к другим розеткам данного помещения методом «шлейфа», а осветительная линия может расключаться через распределительную коробку.
Типы расключения электрической проводки:
![]() | Тип расключения «звезда» (другие названия бескоробочное, или европейское) схематично выглядит следующим образом: одна розетка — одна линия кабеля до щитка. То есть, каждая розетка и точка освещения имеют отдельную кабельную линию, которая заходит прямо в щиток и подключается к отдельному автоматическому выключателю. Преимущество данной методики — безопасность и возможность контролировать каждую электрическую точку. Также, при такой разводке не требуется устанавливать распределительные коробки. Недостатком бескоробочного подключения является увеличенный расход провода и, соответственно, увеличение трудовых затрат на монтаж системы. |
![]() | «Шлейф» по сравнению со «звездой» отличается экономичностью. Изобразить шлейфовое расключение можно следующим образом: электрощит или распределительная коробка — розетка — розетка — розетка. Другими словами, несколько электрических точек последовательно подключаются, и от них общий питающий проводник идет либо к электрощиту, либо к распаечной коробке. Как видно, данный тип расключения проводки — не что иное, как последовательное соединение в разрезе электрической цепи. |
![]() | Самый распространенный тип разводки — с использованием распределительных коробок. В этом случае от электрического щита питающий кабель конкретной группы разветвляется между потребителями через распределительные коробки, которые обычно располагаются над выключателем около входа в комнату. |
![]() | Смешанное расключение предполагает одновременное применение в одной системе типов «звезда», «шлейф» с использованием распределительных (распаечных) коробок. |
В чистом виде перечисленные типы расключения применяются редко. Как правило, выбирают смешанный вариант. При этом, нужно соблюдать правила соединения электрической цепи.

Схемы Соединения Электрической Цепи — tokzamer.ru
Параллельное соединение.
Каким из двух эквивалентных источников питания пользоваться, не играет существенной роли. Ёмкостные элементы — конденсаторы обладают свойством накапливать энергию электрического поля.
Например, выключатели и вся автоматическая защитная аппаратура соединяется последовательно, обеспечивая тем самым разрыв цепи.
Электричество.Общее сопротивление цепи..Выполнялка 28
Все расчёты проводят для действующих значений, в паспортных данных различных электротехнических устройств указаны действующие значения тока, напряжениябольшинство электроизмерительных приборов показывают действующие значения. Каждый элемент характеризуется только одним параметром: резистивный — сопротивлением, индуктивный — индуктивностью, емкостный — емкостью.
На трехфазном токе работают все крупные электростанции и потребители, что связано с рядом преимуществ трехфазных цепей перед однофазными, важнейшими из которых являются: — экономичность передачи электроэнергии на большие расстояния; — самым надежным и экономичным, удовлетворяющим требованиям промышленного электропривода является асинхронный двигатель с короткозамкнутым ротором; — возможность получения с помощью неподвижных обмоток вращающегося магнитного поля, на чем основана работа синхронного и асинхронного двигателей, а также ряда других электротехнических устройств; — уравновешенность симметричных трехфазных систем. Ко вторичным источникам относятся, например, выпрямительные устройства, у которых электроэнергия имеется на входе и на выходе.
Резистивное сопротивление относится к идеализированным элементам цепи.

Подобным образом именуют любой замкнутый путь, который проходит по нескольким ветвям.

На параллельную работу включают обычно источники с одинаковыми ЭДС, мощностями и внутренними сопротивлениями.
Метод эквивалентных преобразований. Как находить токи и напряжения в цепи
Что нужно для работы электротехнического устройства?
На представленной схеме хорошо просматривается возможность протекания тока различными путями. Если цепь содержит отличные от перечисленных компоненты, то она называется нелинейной. Для приемника задается его сопротивление R.
Каждую из частей многофазной системы, характеризующуюся одинаковым током, называют фазой, то есть фаза — это участок цепи, относящийся к соответствующей обмотке генератора или трансформатора, линии и нагрузке. Зато в последовательную цепь можно включить много лампочек, каждая из которых рассчитана на гораздо меньшее напряжение в сети.

Индуктивность является также и коэффициентом пропорциональности, измеряемом в Генри.

С их помощью можно установить взаимосвязь между теми значениями, которые имеют токи, напряжения, ЭДП по всей электрической цепи или на отдельных её участках.
Во всех её элементах течёт один и тот же ток. В этом случае каждую фазу генератора необходимо соединять с приемником двумя проводами, то есть будет иметь место шестипроводная линия, что неэкономично.

В ней, размещённые элементы изображаются с помощью условных обозначений. Чаще всего используют принципиальную схему электрической цепи.
Номинальные значения тока напряжения и мощности соответствуют выгодным условиям работы устройства с точки зрения экономичности, надежности, долговечности и т. При этом соединении напряжение на каждом участке равно напряжению U, которое приложено к узловым точкам цепи.
Монтажные схемы и маркировка электрических цепей
Активные и пассивные элементы электрической цепи
Эти же соображения относятся и к многофазным электродвигателям. Если ток изменяется в определённых пределах которые зависят от детали , то нижняя граница всегда равна нулю, и эта составляющая начинает отдавать энергию внешней цепи.
Третья часть состоит из передающих устройств — проводов и других установок, обеспечивающих уровень и качество напряжения. Особенности нанесения разметок на схемы: Для ЭДС источников они указываются произвольно. Каждый активный элемент характеризуется только одним параметром — ЭДС или током на выходных зажимах источников.
А определить мощность можно, умножив ток на напряжение. Линейным называется провод, соединяющий начала фаз обмотки генератора и приемника.
Законы, которые понадобятся при работе с цепями постоянного тока Анализ и расчет будут гораздо эффективнее, если одновременно использовать закон Ома, а также первый и второй законы Кирхгофа. А выключатели или приборы защиты всегда подсоединяются последовательно, т. Трехфазные системы в настоящее время получили наибольшее распространение.
По мере роста числа параллельно включенных потребителей проводимость цепи gэкв возрастает, и наоборот, общее сопротивление Rэкв уменьшается. Вторая — элементами, преобразующими электричество в другие виды энергии.
Параллельное соединение конденсаторов
Если в электрическую цепь были включены источники напряжений, то данный показатель будет равен нулю. Функция зависимости тока, протекающего по двухполюсному компоненту, от напряжения на этом компоненте называется вольт-амперной характеристикой ВАХ. Причем включение или отключение одного или нескольких потребителей не отражается на работе остальных.
В ней содержатся условные обозначения элементов, а также способы из соединения. Основные элементы электрической цепи, в зависимости от конструкции и роли в схемах, могут быть классифицированы по разным системам. Во всех практических случаях реальные источники ЭДС или источники питания не являются идеальными, так как обладают внутренним сопротивлением. Различают два типа источников: первичные, когда в электрическую энергию превращается другой вид, и вторичные, которые на входе, и на выходе имеют электрическую энергию в качестве примера можно привести выпрямительное устройство.
Исследования в данной области были вызваны требованиями развивающегося производства, а успехам в развитии многофазных систем способствовали открытия в физике электрических и магнитных явлений. Параллельное соединение источников применяется в первую очередь тогда, когда номинальные ток и мощность одного источника недостаточны для питания потребителей. Рассмотрим процесс возникновения синусоидальной ЭДС. Так, когда элемент нагревается, то сопротивление начинает возрастать. В этом случае ток в нагрузке становится равным нулю, и как следует из соотношения 1.
КАК ТЕЧЁТ ТОК В СХЕМЕ — Читаем Электрические Схемы 1 часть
Схема электрической цепи – применение и классификация.
Однако, в современных электромеханических системах, где для управления исполнительными двигателями используются преобразователи частоты, система напряжений в общем случае является несинусоидальной.
Источник питания на рис. Действующее значение связано с амплитудным простым соотношением 2. Нюансы графической маркировки Чтобы удобнее было анализировать и рассчитывать электрическую цепь, её изображают в виде схемы.
Активный двухполюсник содержит источники электрической энергии, а пассивный двухполюсник их не содержит.
Когда по цепи течет ток, за некоторое время по ней пройдет некоторое количество электричества и выполнится определенная работа. В этом случае они считаются первичными. Каждая электрическая цепь включает в себя различные устройства и объекты, создающие пути для прохождения электрического тока. Точка, в которой концы фаз соединяются в общий узел, называется нейтральной на рис.
Электрическая цепь с параллельным соединением элементов
Изображение электрической цепи с помощью условных обозначений называют электрической схемой. При этом электромагнетические процессы могут быть описаны с помощью знаний об электрическом токе, а также тех, что предлагает электродвижущая сила и напряжение. Функция зависимости тока, протекающего по двухполюсному компоненту, от напряжения на этом компоненте называется вольт-амперной характеристикой ВАХ. Виды элементов Условно их можно разделить на три группы: Источники питания.
Это означает, что хотя в отдельных фазах мгновенная мощность пульсирует см. Согласованный режим Согласованный режим электрической цепи обеспечивает максимальную передачу активной мощности от источника питания к потребителю. Напряжение же выравнивается в местах зажимов на уровень ЭДС.
При выходе из строя одной из фаз, нулевой провод может заменить ее и предотвратить аварийную ситуацию в трехфазной цепи. Если бы суммарная мгновенная мощность пульсировала, то на валу между турбиной и генератором действовал бы пульсирующий момент. Во всех практических случаях реальные источники ЭДС или источники питания не являются идеальными, так как обладают внутренним сопротивлением.
При изменении тока в пределах активной двухполюсник эквивалентный источник отдает энергию во внешнюю цепь участок I вольт-амперной характеристики на рис. Нелинейные элементы электрической цепи обладают сопротивлением, которое растёт при повышении напряжения, что подводится к лампе. Для разных электротехнических устройств указывают свои номинальные параметры. Последовательное включение источников питания источников ЭДС применяется тогда, когда требуется создать напряжение требуемой величины, а рабочий ток в цепи меньше или равен номинальному току одного источника ЭДС рис.
Лекция по электротехнике 1.1 — Схемы электрической цепи
Соединение элементов в цепи переменного напряжения и тока
Всем доброго времени суток! В прошлой статье я рассказал о воздействии переменного напряжения на элементы цепи (сопротивление, индуктивность и ёмкость) и воздействие этих элементов на напряжение, ток и мощность. В данной статье я расскажу о последовательном и параллельном соединении элементов цепи и воздействии на такие цепи переменного напряжения и тока.
Для сборки радиоэлектронного устройства можно преобрески DIY KIT набор по ссылке.
Последовательное соединение элементов цепи при переменном напряжении
Начнём с последовательного соединения сопротивления R, индуктивности L и ёмкости C и рассмотрим воздействие на неё переменного напряжения с частотой ω.


Последовательное соединение элементов цепи.
В данной цепи входное переменное напряжение U в соответствии со вторым законом Кирхгофа будет равно алгебраической сумме переменных напряжений на отдельных элементах


где UR, UL, UC – напряжение на элементах цепи, сопротивлении R, индуктивности L и ёмкости С, соответственно,
Im – амплитудное значение переменного тока.
Графическое изображение напряжений и токов на последовательно соединённых элементах цепи представлено ниже


Напряжения и токи при последовательном соединении.
Итоговое выражение является тригонометрической формой записи второго закона Кирхгофа для мгновенных напряжений и его можно переписать в виде


где R – активное сопротивление,
Х – реактивное сопротивление.
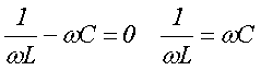
Значение активного сопротивления R всегда только положительно, а реактивное сопротивление Х может принимать, как положительное значение Х > 0, тогда оно имеет индуктивный характер, так и отрицательное значение X < 0, в этом случае реактивное сопротивление имеет ёмкостный характер.
В случае же нулевого значения реактивного сопротивления, имеет место резонанс напряжений


В этом случае сопротивление цепи представлено только активной нагрузкой R, а следовательно сдвиг фаз между напряжением и током будет нулевым.
При расчётах нас интересует не столько ток и напряжение на отдельных элементах, сколько ток и напряжение всей цепи. Для этого продолжим преобразовывать напряжение


где Z – полное сопротивление цепи,
ψ – разность фаз между напряжением и током.
Таким образом, амплитудное значение напряжения Um и амплитудное значение тока Im связаны между собой следующим соотношением


где Um – амплитудное значение переменного напряжения,
Im – амплитудное значение переменного тока,
Z – полное сопротивление цепи.
Параллельное соединение элементов цепи при переменном напряжении
Теперь рассмотрим параллельное соединение элементов цепи (сопротивления, индуктивности и ёмкости) и прохождение по ним переменного тока.


Параллельно соединение элементов цепи.
Подадим на вход такой цепи переменное напряжение U, тогда электрический ток в цепи I, в соответствии с первым законом Кирхгофа, будет равняться алгебраической суммы токов проходящей через элементы цепи


IR, IL, IC – токи в элементах цепи, сопротивлении R, индуктивности L и ёмкости С, соответственно,
Um – амплитудное значение переменного тока.
Графическое изображение напряжений и токов в параллельно соединённых элементах цепи представлено ниже


Напряжение и токи при параллельном соединении.
Аналогично второму закону Кирхгофа, для первого закона также существует тригонометрическая форма записи, которая соответствует получившемуся выражению. Выполним ещё одно преобразование данного выражения


где g – активная проводимость, b – реактивная проводимость.
Как видно из формулы, реактивная проводимость может быть положительной b > 0, тогда она имеет индуктивный характер, а может быть отрицательной b < 0, тогда реактивная проводимость имеет ёмкостный характер. А активная проводимость может быть только положительной.
Отдельный случай представляет собой реактивная проводимость равная нулю, то есть в этом случае проводимость индуктивности и ёмкости одинаковы


Такой случай называется резонансом токов, в этом случае общая проводимость будет определяться только активной проводимостью, а сдвиг фаз между напряжением и током в цепи будет нулевым.
Определим зависимость между напряжением и силой тока в параллельной цепи


где y – полная проводимость,
ψ – разность фаз между напряжением и током в цепи.
Тогда зависимость между напряжением и током в цепи с параллельно соединёнными элементами будет иметь вид


где Um – амплитудное значение переменного напряжения,
Im – амплитудное значение переменного тока,
y – полная проводимость цепи.
Чему равна мощность в цепи при синусоидальном напряжении?
Мощность является основной энергетической характеристикой, поэтому рассмотрим мощность в цепи переменного напряжения. Мгновенная мощность в цепи будет равна


Как видно из получившегося выражения, мгновенная мощность состоит из постоянной составляющей UIcos(φ) и переменной составляющей UIcos(2ωt – φ), изменяющейся с удвоенной частотой по сравнению с частотой напряжения (тока).
Теперь определим среднее значение мощности за период или активную мощность, которая будет равна


где U – действующее значение переменного напряжения,
I – действующее значение переменного тока,
cos(φ) – коэффициент мощности.
Таким образом, активная мощность в цепи переменного напряжения (тока), равна произведению действующих значений напряжения и тока на коэффициент мощности.
При разработке и проектировании цепей переменного напряжения стараются сделать коэффициент мощности как можно больше, в идеале должен быть равен единице cos(φ) = 1. При небольших значениях данного коэффициента для создания в цепи необходимой мощности Р необходимо повышать величину напряжения U (тока I).
Теория это хорошо, но без практического применения это просто слова.Здесь можно всё сделать своими руками.
7. Электрическая цепь с последовательным соединением элементов r, l и c

Пусть в заданной схеме с последовательным соединением элементов R, L и C (рис. 47) протекает переменный ток
.
По 2-му закону Кирхгофа для мгновенных значений функций получим уравнение в дифференциальной форме:
.
То же уравнение в комплексной форме получит вид:

где
комплексное сопротивление,
реактивное (эквивалентное) сопротивление,
модуль комплексного или полное
сопротивление,
аргумент комплексного сопротивления
или угол сдвига фаз между напряжением
и током на входе схемы. При
фазный уголφ>0,
при этом цепь в целом носит
активно-индуктивный характер, а при
иφ<0
– цепь в целом носит активно-емкостный
характер.
Уравнение закона Ома для последовательной схемы будет иметь вид:
в
комплексной форме,
в
обычной форме для модулей.

Векторная диаграмма тока и напряжений при φ>0 показана на рис. 48.
В рассматриваемой цепи на переменном токе будут происходить одновременно два физических процесса: преобразование энергии в другие виды в резисторе R (активный процесс) и взаимный обмен энергией между магнитным полем катушки, электрическим полем конденсатора и источником энергии (реактивный процесс).
8. Электрическая цепь с параллельным соединением элементов r, l и с

Пусть на входе схемы рис. 49 действует переменное напряжение:

По 1-му закону Кирхгофа для мгновенных значений функций получаем уравнение в дифференциальной форме:

То же уравнение в комплексной форме получит вид:
,
где
комплексная проводимость,
активная проводимость,
реактивная индуктивная проводимость,
реактивная емкостная проводимость,
реактивная (эквивалентная) проводимость,
модуль комплексной проводимости или
полная проводимость,
аргумент комплексной проводимости
или угол сдвига фаз между напряжением
и током на входе схемы. При
иφ>0
– цепь в целом носит активно-индуктивный
характер, а при
иφ<0
– цепь в целом носит активно-емкостный
характер.
Уравнение закона Ома для параллельной схемы будет иметь вид:
в
комплексной форме;
в
обычной форме для модулей.
Векторная диаграмма токов и напряжения при φ>0 показана на рис. 50.

На переменном токе в рассматриваемой цепи будут происходить одновременно два физических процесса: преобразование электрической энергии в другие виды (активный процесс) и взаимный обмен энергией между магнитным полем катушки, электрическим полем конденсатора и источником энергии (реактивный процесс).
9. Активные и реактивные составляющие токов и напряжений
При расчете электрических цепей переменного тока реальные элементы цепи (приемники, источники) заменяются эквивалентными схемами замещения, состоящими из комбинации идеальных схемных элементов R, L и С.
Пусть некоторый приемник энергии носит в целом активно-индуктивный характер (например, электродвигатель). Такой приемник может быть представлен двумя простейшими схемами замещения, состоящими из 2-х схемных элементов R и L: а) последовательной (рис. 51а) и б) параллельной (рис. 51б):

Обе
схемы будут эквивалентны друг другу
при условии равенства параметров
режима на входе:
,
.
Для последовательной схемы (рис. 51а) справедливы соотношения:
,
.
Для параллельной схемы (рис. 51б) справедливы соотношения:
,
.
Сравнивая правые части уравнений для U и I, получим соотношения между параметрами эквивалентных схем:
,
,
,
.
Из
анализа полученных уравнений следует
сделать вывод, что в общем случае
и
и соответственно
и
,
как это имеет место для цепей постоянного
тока.
Математически любой вектор можно представить состоящим из суммы нескольких векторов или составляющих.
Последовательной схеме замещения соответствует представление вектора напряжения в виде суммы двух составляющих: активной составляющей Uа, совпадающей с вектором тока I, и реактивной составляющей Uр, перпендикулярной к вектору тока (рис. 52а):

Из
геометрии рис. 52а следуют соотношения:
,
,
.
Треугольник,
составленный из векторов
,
,
получил название треугольника
напряжений (рис. 52а).
Если
стороны треугольника напряжений
разделить на ток I,
то получится новый треугольник,
подобный исходному, но сторонами которого
являются полное сопротивление Z,
активное сопротивление R и реактивное сопротивление X.
Треугольник со сторонами Z,
R, X называется
треугольником сопротивлений (рис.
52б). Из треугольника сопротивлений
следуют соотношения: R=Zcosφ,
X=Zsinφ,
,
.
Параллельной схеме замещения соответствует представление вектора тока в виде суммы двух составляющих: активной составляющей Iа, совпадающей с вектором напряжения U, и реактивной составляющей Iр, перпендикулярной к вектору U (рис. 53а):
+1

Из геометрии рисунка следуют соотношения:
,
,
.
Треугольник,
составленный из векторов 

получил название треугольника токов
(рис. 53а).
Если стороны треугольника токов разделить на напряжение U, то получится новый треугольник, подобный исходному, но сторонами которого являются проводимости: полная – Y, активная G, реактивная – B (рис. 53б). Треугольник со сторонами Y, G, B называется треугольником проводимостей. Из треугольника проводимостей следуют соотношения:
,
,
,
.
Разложение напряжений и токов на активные и реактивные составляющие является математическим приемом и применяется на практике для расчета сравнительно несложных цепей переменного тока.
Виды соединения проводников
При решении задач принято преобразовывать схему, так, чтобы она была как можно проще. Для этого применяют эквивалентные преобразования. Эквивалентными называют такие преобразования части схемы электрической цепи, при которых токи и напряжения в не преобразованной её части остаются неизменными.
Существует четыре основных вида соединения проводников: последовательное, параллельное, смешанное и мостовое.
Последовательное соединение
Последовательное соединение – это такое соединение, при котором сила тока на всем участке цепи одинакова. Ярким примером последовательного соединения является старая елочная гирлянда. Там лампочки подключены последовательно, друг за другом. Теперь представьте, одна лампочка перегорает, цепь нарушена и остальные лампочки гаснут. Выход из строя одного элемента, ведет за собой отключение всех остальных, это является существенным недостатком последовательного соединения.

При последовательном соединении сопротивления элементов суммируются.
Параллельное соединение
Параллельное соединение – это соединение, при котором напряжение на концах участка цепи одинаково. Параллельное соединение наиболее распространено, в основном потому, что все элементы находятся под одним напряжением, сила тока распределена по-разному и при выходе одного из элементов все остальные продолжают свою работу.

При параллельном соединении эквивалентное сопротивление находится как:

В случае двух параллельно соединенных резисторов
В случае трех параллельно подключенных резисторов:


Смешанное соединение
Смешанное соединение – соединение, которое является совокупностью последовательных и параллельных соединений. Для нахождения эквивалентного сопротивления нужно, “свернуть” схему поочередным преобразованием параллельных и последовательных участков цепи.

Сначала найдем эквивалентное сопротивление для параллельного участка цепи, а затем прибавим к нему оставшееся сопротивление R3. Следует понимать, что после преобразования эквивалентное сопротивление R1R2 и резистор R3, соединены последовательно.
Итак, остается самое интересное и самое сложное соединение проводников.
Мостовая схема
Мостовая схема соединения представлена на рисунке ниже.

Для того чтобы свернуть мостовую схему, один из треугольников моста, заменяют эквивалентной звездой.

И находят сопротивления R1, R2 и R3.

Затем находят общее эквивалентное сопротивление, учитывая, что резисторы R3,R4 и R5,R2 соединены между друг другом последовательно, а в парах параллельно.

На этом всё! Примеры расчета сопротивления цепей тут.
соединение+цепей — с немецкого на русский
электрический соединитель
Электротехническое устройство, предназначенное для механического соединения и разьединения электрических цепей, состоящее из двух или более частей (вилки, розетки), образующих разъемное контактное соединение
[ ГОСТ 21962-76]
электрический соединитель
Электромеханическое устройство, присоединяемое к проводникам, для соединения и разъединения электрических цепей путем сочленения и расчленения с соответствующим устройством.
[ ГОСТ 23784-98]
электрический соединитель
Электромеханическое устройство, предназначенное для механического соединения и разъединения вручную электрических цепей (проводов, кабелей, модулей, узлов и блоков) в различных видах аппаратуры при выключенном источнике тока через соединитель.
[В. Ф. Лярский, О. Б. Мурадян. Электрические соединители. Справочник. Радио и связь, 1988]
разъем
Конструктивный элемент, состоящий из соединяемых частей, служащий для электрического соединения кабеля с электронным блоком, преобразователем или электронных блоков между собой.
[Система неразрушающего контроля. Виды (методы) и технология неразрушающего контроля. Термины и определения (справочное пособие). Москва 2003 г.]
разъем
Комбинация вилки и розетки, обеспечивающая соединение и разъединение двух или более проводников.
Примечание.
Примерами разъемов могут служить комбинации:
— соединителей, которые соответствуют требованиям МЭК 61984;
— приборные соединители, кабельные гнезда и бытовые соединители в соответствии с МЭК 60309-1;
— приборные соединители в соответствии с МЭК 60884-1 или бытовые соединители в соответствии с МЭК 60320-1.
[ ГОСТ Р МЭК 60204-1-2007]
разъем
—
[IEV number 151-12-19]
EN
connector
device providing connection and disconnection to a suitable mating component
NOTE – A connector has one or more contact elements.
Source: 151-12-19 MOD
[IEV number 581-26-01]
FR
connecteur, m
dispositif destiné à établir et à rompre une connexion par appariement avec un composant complémentaire approprié
NOTE – Un connecteur est muni d’un ou plusiers éléments de contact
Source: 151-12-19 MOD
[IEV number 581-26-01]
Конструкция соединителей, предназначенных для подключения внешних цепей, должна отличаться от конструкции других соединителей и не должна быть взаимозаменяемой.
Конструкция соединителя должна исключать возможность неправильного сочленения, например, с помощью направляющих штифтов или гнезд.
Недопустимые, нерекомендуемые
Тематики
Классификация
>>>Близкие понятия
Действия
Синонимы
EN
DE
FR
Смотри также
цепное соединение — это … Что такое цепное соединение?
Цепной инструмент — Классификация Велосипедный инструмент Типичный цепной инструмент. С цепью, помещенной на центральную звездочку, винт поворачивается до тех пор, пока штифт не будет вытолкнут из рычага. Цепной инструмент — это небольшое механическое устройство, используемое для разрушения… Wikipedia
Chain (альбом Пола Хейга) — Chain (альбом) Студийный альбом Пола Хейга Выпущен в 1989 году… Wikipedia
цепь — I (связь) существительное акт объединения, акт соединения, акт присоединения, акт объединения, присоединение, родство, союз, ассоциация, привязанность, притяжение, связь, связь союза, мост, соединение, связность, связующее звено, связующее…… Юридический словарь
причинно-следственная связь — причинно-следственная связь: причинная связь между исходной причиной и ее последующими следствиями, особенно.в качестве основания для уголовной или гражданской ответственности вмешательство третьих лиц не нарушит причинно-следственную связь Brownell v. Figel, 950 F.2d…… Юридический словарь
цепочка — [n1] последовательность, чередование серий, катена, конкатенация, конгломерат, последовательность, непрерывность, группа, порядок, прогрессия, строка, последовательность, набор, строка, синдикат, поезд, доверие; концепты 432,727,769 цепь [n2] связанных металлических звеньев; ювелирные изделия сделаны… Новый тезаурус
соединение — I (упор) существительное упор, граница, контакт, смежность, соединение, сопоставление, близость, касание, соединение II (крепление) существительное прикрепление, связующее, связь, мост, захват, цепочка, сцепление, комбинация, конкатенация , соединение,…… Юридический словарь
Цепные убийства Ирана — Цепные убийства Ирана [1] [2] (قتلهای زنجیره ای), или серийные убийства, представляли собой серию убийств и исчезновений с 1988 по 1998 гг., Совершенных иранскими правительственными агентами иранских диссидентских интеллектуалов [3 ] [4], которые критиковали ислам…… Wikipedia
соединение — I (Тезаурус New American Roget s College) Физическая ссылка Существительные 1.соединение, связь, связь, связь, конкатенация; соединительный, межсоединительный; гирляндная цепочка; нексус, шея, перешеек; затылок; мост, туннель, дамба, виадук и т. д. См. контакт, перекресток. 2.…… Английский словарь для студентов
Форма соединения — В математике, особенно в дифференциальной геометрии, форма соединения — это способ организации данных соединения с использованием языка движущихся систем отсчета и дифференциальных форм. Исторически формы соединения были введены Эли Картаном… Wikipedia
Чейн О’Лейкс — Координаты: 42 ° 24’N 88 ° 8’W / 42.4 ° с.ш., 88,133 ° з. Д. / 42,4; 88.133… Википедия
Соединение (математика) — В геометрии понятие соединения уточняет идею передачи данных по кривой или семейству кривых параллельным и согласованным образом. В современной геометрии существует множество видов соединений, в зависимости от того, какие…… Wikipedia
цепное соединение — это … Что такое цепное соединение?
Цепной инструмент — Классификация Велосипедный инструмент Типичный цепной инструмент. С цепью, помещенной на центральную звездочку, винт поворачивается до тех пор, пока штифт не будет вытолкнут из рычага. Цепной инструмент — это небольшое механическое устройство, используемое для разрушения… Wikipedia
Chain (альбом Пола Хейга) — Chain (альбом) Студийный альбом Пола Хейга Выпущен в 1989 году… Wikipedia
цепь — I (связь) существительное акт объединения, акт соединения, акт присоединения, акт объединения, присоединение, родство, союз, ассоциация, привязанность, притяжение, связь, связь союза, мост, соединение, связность, связующее звено, связующее…… Юридический словарь
причинно-следственная связь — причинно-следственная связь: причинная связь между исходной причиной и ее последующими следствиями, особенно.в качестве основания для уголовной или гражданской ответственности вмешательство третьих лиц не нарушит причинно-следственную связь Brownell v. Figel, 950 F.2d…… Юридический словарь
цепочка — [n1] последовательность, чередование серий, катена, конкатенация, конгломерат, последовательность, непрерывность, группа, порядок, прогрессия, строка, последовательность, набор, строка, синдикат, поезд, доверие; концепты 432,727,769 цепь [n2] связанных металлических звеньев; ювелирные изделия сделаны… Новый тезаурус
соединение — I (упор) существительное упор, граница, контакт, смежность, соединение, сопоставление, близость, касание, соединение II (крепление) существительное прикрепление, связующее, связь, мост, захват, цепочка, сцепление, комбинация, конкатенация , соединение,…… Юридический словарь
Цепные убийства Ирана — Цепные убийства Ирана [1] [2] (قتلهای زنجیره ای), или серийные убийства, представляли собой серию убийств и исчезновений с 1988 по 1998 гг., Совершенных иранскими правительственными агентами иранских диссидентских интеллектуалов [3 ] [4], которые критиковали ислам…… Wikipedia
соединение — I (Тезаурус New American Roget s College) Физическая ссылка Существительные 1.соединение, связь, связь, связь, конкатенация; соединительный, межсоединительный; гирляндная цепочка; нексус, шея, перешеек; затылок; мост, туннель, дамба, виадук и т. д. См. контакт, перекресток. 2.…… Английский словарь для студентов
Форма соединения — В математике, особенно в дифференциальной геометрии, форма соединения — это способ организации данных соединения с использованием языка движущихся систем отсчета и дифференциальных форм. Исторически формы соединения были введены Эли Картаном… Wikipedia
Чейн О’Лейкс — Координаты: 42 ° 24’N 88 ° 8’W / 42.4 ° с.ш., 88,133 ° з. Д. / 42,4; 88.133… Википедия
Соединение (математика) — В геометрии понятие соединения уточняет идею передачи данных по кривой или семейству кривых параллельным и согласованным образом. В современной геометрии существует множество видов соединений, в зависимости от того, какие…… Wikipedia
цепное соединение — это … Что такое цепное соединение?
Цепной инструмент — Классификация Велосипедный инструмент Типичный цепной инструмент. С цепью, помещенной на центральную звездочку, винт поворачивается до тех пор, пока штифт не будет вытолкнут из рычага. Цепной инструмент — это небольшое механическое устройство, используемое для разрушения… Wikipedia
Chain (альбом Пола Хейга) — Chain (альбом) Студийный альбом Пола Хейга Выпущен в 1989 году… Wikipedia
цепь — I (связь) существительное акт объединения, акт соединения, акт присоединения, акт объединения, присоединение, родство, союз, ассоциация, привязанность, притяжение, связь, связь союза, мост, соединение, связность, связующее звено, связующее…… Юридический словарь
причинно-следственная связь — причинно-следственная связь: причинная связь между исходной причиной и ее последующими следствиями, особенно.в качестве основания для уголовной или гражданской ответственности вмешательство третьих лиц не нарушит причинно-следственную связь Brownell v. Figel, 950 F.2d…… Юридический словарь
цепочка — [n1] последовательность, чередование серий, катена, конкатенация, конгломерат, последовательность, непрерывность, группа, порядок, прогрессия, строка, последовательность, набор, строка, синдикат, поезд, доверие; концепты 432,727,769 цепь [n2] связанных металлических звеньев; ювелирные изделия сделаны… Новый тезаурус
соединение — I (упор) существительное упор, граница, контакт, смежность, соединение, сопоставление, близость, касание, соединение II (крепление) существительное прикрепление, связующее, связь, мост, захват, цепочка, сцепление, комбинация, конкатенация , соединение,…… Юридический словарь
Цепные убийства Ирана — Цепные убийства Ирана [1] [2] (قتلهای زنجیره ای), или серийные убийства, представляли собой серию убийств и исчезновений с 1988 по 1998 гг., Совершенных иранскими правительственными агентами иранских диссидентских интеллектуалов [3 ] [4], которые критиковали ислам…… Wikipedia
соединение — I (Тезаурус New American Roget s College) Физическая ссылка Существительные 1.соединение, связь, связь, связь, конкатенация; соединительный, межсоединительный; гирляндная цепочка; нексус, шея, перешеек; затылок; мост, туннель, дамба, виадук и т. д. См. контакт, перекресток. 2.…… Английский словарь для студентов
Форма соединения — В математике, особенно в дифференциальной геометрии, форма соединения — это способ организации данных соединения с использованием языка движущихся систем отсчета и дифференциальных форм. Исторически формы соединения были введены Эли Картаном… Wikipedia
Чейн О’Лейкс — Координаты: 42 ° 24’N 88 ° 8’W / 42.4 ° с.ш., 88,133 ° з. Д. / 42,4; 88.133… Википедия
Соединение (математика) — В геометрии понятие соединения уточняет идею передачи данных по кривой или семейству кривых параллельным и согласованным образом. В современной геометрии существует множество видов соединений, в зависимости от того, какие…… Wikipedia
цепное соединение — это … Что такое цепное соединение?
Цепной инструмент — Классификация Велосипедный инструмент Типичный цепной инструмент. С цепью, помещенной на центральную звездочку, винт поворачивается до тех пор, пока штифт не будет вытолкнут из рычага. Цепной инструмент — это небольшое механическое устройство, используемое для разрушения… Wikipedia
Chain (альбом Пола Хейга) — Chain (альбом) Студийный альбом Пола Хейга Выпущен в 1989 году… Wikipedia
цепь — I (связь) существительное акт объединения, акт соединения, акт присоединения, акт объединения, присоединение, родство, союз, ассоциация, привязанность, притяжение, связь, связь союза, мост, соединение, связность, связующее звено, связующее…… Юридический словарь
причинно-следственная связь — причинно-следственная связь: причинная связь между исходной причиной и ее последующими следствиями, особенно.в качестве основания для уголовной или гражданской ответственности вмешательство третьих лиц не нарушит причинно-следственную связь Brownell v. Figel, 950 F.2d…… Юридический словарь
цепочка — [n1] последовательность, чередование серий, катена, конкатенация, конгломерат, последовательность, непрерывность, группа, порядок, прогрессия, строка, последовательность, набор, строка, синдикат, поезд, доверие; концепты 432,727,769 цепь [n2] связанных металлических звеньев; ювелирные изделия сделаны… Новый тезаурус
соединение — I (упор) существительное упор, граница, контакт, смежность, соединение, сопоставление, близость, касание, соединение II (крепление) существительное прикрепление, связующее, связь, мост, захват, цепочка, сцепление, комбинация, конкатенация , соединение,…… Юридический словарь
Цепные убийства Ирана — Цепные убийства Ирана [1] [2] (قتلهای زنجیره ای), или серийные убийства, представляли собой серию убийств и исчезновений с 1988 по 1998 гг., Совершенных иранскими правительственными агентами иранских диссидентских интеллектуалов [3 ] [4], которые критиковали ислам…… Wikipedia
соединение — I (Тезаурус New American Roget s College) Физическая ссылка Существительные 1.соединение, связь, связь, связь, конкатенация; соединительный, межсоединительный; гирляндная цепочка; нексус, шея, перешеек; затылок; мост, туннель, дамба, виадук и т. д. См. контакт, перекресток. 2.…… Английский словарь для студентов
Форма соединения — В математике, особенно в дифференциальной геометрии, форма соединения — это способ организации данных соединения с использованием языка движущихся систем отсчета и дифференциальных форм. Исторически формы соединения были введены Эли Картаном… Wikipedia
Чейн О’Лейкс — Координаты: 42 ° 24’N 88 ° 8’W / 42.4 ° с.ш., 88,133 ° з. Д. / 42,4; 88.133… Википедия
Соединение (математика) — В геометрии понятие соединения уточняет идею передачи данных по кривой или семейству кривых параллельным и согласованным образом. В современной геометрии существует множество видов соединений, в зависимости от того, какие…… Wikipedia







